Software: CAD - Tutorial - Optimierung - Dimensionierungsregeln
Physikalische Effekte der Biegefeder
An dieser Stelle werden nur die Gleichungen physikalischer Zusammenhänge aufgelistet, welche bei der Optimierung der Biegefeder berücksichtigt werden müssen. Die Herleitung und Erläuterung dieser Zusammenhänge unter dem Aspekt der Resonanzfrequenz findet man im Wikipedia-Artikel "Durchschlagende Zunge".
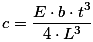
Die Federkonstante c einer einseitig eingespannten Biegefeder der Länge L und rechteckigem Querschnitt b·t berechnet man bei bekanntem E-Modul mit der Gleichung:
Die maximal zulässige Kraft F ergibt sich dann bei bekannter Streckgrenze Re zu:
- Hinweis:
Es wird die Streckgrenze Re als Ersatz für die eigentlich erforderliche Biegefließgrenze σbF benutzt, weil der Wert für die Biegefließgrenze in der Autodesk-Materialbibliothek nicht zur Verfügung steht. Der Wert für die Streckgrenze ist bis zu 50% kleiner als die Biegefließgrenze, so dass man immer auf der sicheren Seite ist!
Die Resonanzfrequenz f der Grundschwingung dieser Biegefeder senkrecht zur Dicke t beträgt
- ρ ist hierbei die Dichte des Feder-Materials.
- γ1 = 1,875 ist der durch mathematische Näherungen hergeleitete γ-Wert für die tiefste erreichbare Grundschwingung der einseitig eingespannten Biegefeder mit konstantem rechteckigem Querschnitt.
Benutzerdefinierte Parameter
Am Beispiel der Magnet-Übung wurde gezeigt, dass man Zusammenhänge zwischen Benutzerparametern mit Hilfe von Gleichungen definieren kann. Bei der Vorbereitung des CAD-Modells für die Feder-Optimierung stößt man in der Parameter-Verwaltung jedoch auf Grenzen:

- Ein direkter Zugriff auf Werte des CAD-Modells, welche außerhalb der Parameter-Tabelle definiert sind, ist nicht möglich (z.B. Material-Werte, Volumen, Masse, Trägheitsmomente).
- Die Gleichungen physikalischer Effekte (z.B. Berechnung der Resonanzfrequenz) setzen voraus, dass die Werte der verwendeten physikalischen Größen in SI-Einheiten vorliegen. Ansonsten müsste man zugeschnittene Größengleichungen verwenden, welche unübersichtlich und fehleranfällig sind. In der Parameter-Tabelle steht als "Einheitentyp" nur ein begrenzter Vorrat an Maßeinheiten zur Verfügung.
Wichtig:
Geometrie-Parameter, welche direkt als Maße in den Skizzen oder Elementen des Bauteils verwendet werden, sollten den im CAD-Programm voreingestellten Einheitentyp beibehalten (Siehe vorherige Parameter-Tabelle). In der deutschen Version von Autodesk Inventor ist Millimeter (mm) die vorgegebene Einheit. Eine Änderung z.B. in die Basiseinheit Meter (m) könnte zu unvorhergesehenen Auswirkungen auf nachgelagerte Prozesse führen (z.B. bei der Zeichnungserstellung)!
- Werden Geometrie-Parameter auch als Parameter in Gleichungen physikalischer oder konstruktiver Zusammenhänge benötigt, so sollte man dafür separate Parameter ohne Einheit (oE) definieren und ihre Werte in der SI-Basiseinheit (m) behandeln. Die Maßeinheit (m) ist im Kommentar zu vermerken:
- Hinweis: Der Anfangswert für diese Geometrie-Parameter ist unwichtig. Die Umrechnung der Millimeter-Werte der Maß-Parameter in die benötigten Meter-Werte erfolgt später mit zusätzlichen Gleichungen.
- Alle Parameter & Variablen, welche in Gleichungen physikalischer oder konstruktiver Zusammenhänge benötigt werden, sollten als Benutzerparameter ohne Einheit (oE) definiert werden. Ihr Wert entspricht dann dem der zugehörigen SI-Einheit, z.B. Masse in (kg). Im Sinne der Einheitlichkeit sollte man den Parametern auch dann keine SI-Einheit zuweisen, wenn diese zufällig in der Liste der Einheitentypen vorhanden ist:
- Hinweis: Die Parameternamen sind nicht frei wählbar, denn im Inventor vordefinierte Bezeichner können nicht verwendet werden (z.B. c, E, f, gamma). Die Namen müssen außerdem den Konventionen von üblichen Programmiersprachen genügen (z.B. keine Umlaute oder Sonderzeichen).
Regelbasierte Berechnung
In der Parameter-Tabelle kann man nur Gleichungen definieren, welche Bezug auf andere Parameter dieser Tabelle nehmen. Im Beispiel wäre dies nur die Umrechnung der Werte der originalen Maß-Parameter (mm) in die Meter-Werte der zusätzlichen Geometrie-Parameter. Wieder im Sinne der Einheitlichkeit werden wir in dieser Übung grundsätzlich keine Gleichungen innerhalb der Parameter-Tabelle definieren, sondern dafür nur die Möglichkeiten der regelbasierten Berechnung im sogenannten iLogic-Browser nutzen:
- Wir starten dieses Tool über MFL > Verwalten > iLogic > Browser
. Über das Kontext-Menü fügen wir die Regel für die Berechnung hinzu (Regelname=Berechnung):
- Danach öffnet sich automatisch der Editor für das Bearbeiten dieser Regel (Beispiel in Version 2016):
- Das Abrufen der in den Anweisungen der Regel erforderlichen Bezeichner erfolgt am einfachsten durch Doppelklick auf das zugehörige Element. Die mathematischen Operatoren (z.B. =, / und *) und Zahlen schreibt man von Hand.
- Kommentarzeilen beginnen mit ' (dafür gibt es auch einen Button in der Symbolleiste des Editors).
- Man sollte mit der Berechnung der Abmessungen (m) aus den Maß-Parametern (mm) beginnen. Die "Benutzerparameter" werden in der "Parameter"-Registerkarte aufgelistet, wenn man in der "Modell"-Registerkarte diese zuvor auswählt.
- Danach erfolgt der Abruf der Material-Konstanten einschließlich der Umrechnung der Werte auf SI-Einheiten ohne Vorsatz (z.B. in N/m²).
- Für die Streckgrenze ist im obigen Bild angedeutet, wie der Abruf dieser Material-Konstanten und ihre Zuweisung zum zugehörigen Benutzerparameter in älteren Inventor-Versionen erfolgte.
- Achtung:
- Leider werden ab der Inventor-Version 2019 die einzelnen Material-Properties nicht mehr als "Snippets" im iLogic-Browser aufgelistet.
- Die komplette Liste der iLogic-Snippets der Inventor-Version 2018 steht als Excel-Tabelle noch im Netz zur Verfügung.
- Man kann diese komplexen Variablen-Bezeichner weiterhin manuell eintragen (z.B. durch Kopieren über die Windows-Zwischenablage aus der folgenden Liste):
Material Name : materialName = ThisDoc.Document.ComponentDefinition.Material.Name Density [g/cm^3] : materialDensity = ThisDoc.Document.ComponentDefinition.Material.Density Linear Expansion [1/K] : materialLinearExpansion = ThisDoc.Document.ComponentDefinition.Material.LinearExpansion Poisson's Ratio : poissonsRatio = ThisDoc.Document.ComponentDefinition.Material.PoissonsRatio Specific Heat [J/(kg*K)] : specificHeat = ThisDoc.Document.ComponentDefinition.Material.SpecificHeat Thermal Conductivity [W/(m*K)] : conductivity = ThisDoc.Document.ComponentDefinition.Material.ThermalConductivity Ultimate Tensile Strength [MPa]: tensileStrength = ThisDoc.Document.ComponentDefinition.Material.UltimateTensileStrength Yield Strength [MPa] : yieldStrength = ThisDoc.Document.ComponentDefinition.Material.YieldStrength Young's Modulus [GPa] : youngsModulus = ThisDoc.Document.ComponentDefinition.Material.YoungsModulus
Nach dem Quittieren des aktuellen Regel-Inhalts mittels OK-Button muss man die
durchführen. Danach kann man in der Parameter-Tabelle überprüfen, ob die in der Regel "Berechnung" berücksichtigten Parameter den richtigen Wert besitzen:
Nach einer manuellen Änderung der Maß-Parameter (mm) in der Parameter-Tabelle, erfolgt sofort eine Aktualisierung aller davon über die Berechnungsregel abhängigen Benutzerparameter. Dies reicht für unsere Zwecke jedoch nicht aus:
- Bei Einsatz eines externen Optimierungstools führt dieses von außen zielgerichtete Änderungen der Maß-Parameter (mm) durch. Bei jeder Änderung dieser Maß-Parameter muss automatisch die Berechnungsregel abgearbeitet werden, um das Bauteil zu aktualisieren.
- Bei der Wahl eines anderen Materials sollte ebenfalls automatisch eine Aktualisierung des Bauteils durch Abarbeiten der Berechnungsregel erfolgen.
Die Abarbeitung von Regeln kann man in Abhängigkeit von bestimmten Ereignissen auslösen (Definition in MFL > Verwalten > iLogic > Ereignisauslöser
). Mit dem Cursor zieht man die Regel "Berechnung" zu den Ereignissen "Beliebige Modellparameteränderung" und "Materialänderung" (für "Dieses Dokument"):
Abschließend ergänzen wir in der Regel noch die Berechnung der für die Optimierung erforderlichen Bewertungsgrößen:
In der Parameter-Tabelle überprüfen wir nach dem Aktualisieren, ob die Werte richtig berechnet werden:
- In der Praxis müsste man das Modell zumindest durch Überschlagsberechnungen verifizieren.
- Im Rahmen dieser Übung vergleichen wir aus Zeitgründen die berechneten Werte nur mit den "richtigen" Werten (gerundet auf 7 Ziffern):
- c_Feder = 151,9097 N/m
- F_max = 0,8680556 N
- f1 = 116,0311 Hz
- Bereits kleine Abweichungen resultieren aus Fehlern in den Anweisungen der iLogik-Berechnung, welche es dann zu finden gilt!








